Project of the Year 2025 and Joe Whitehead nominations are now open! Check News and Events tab.

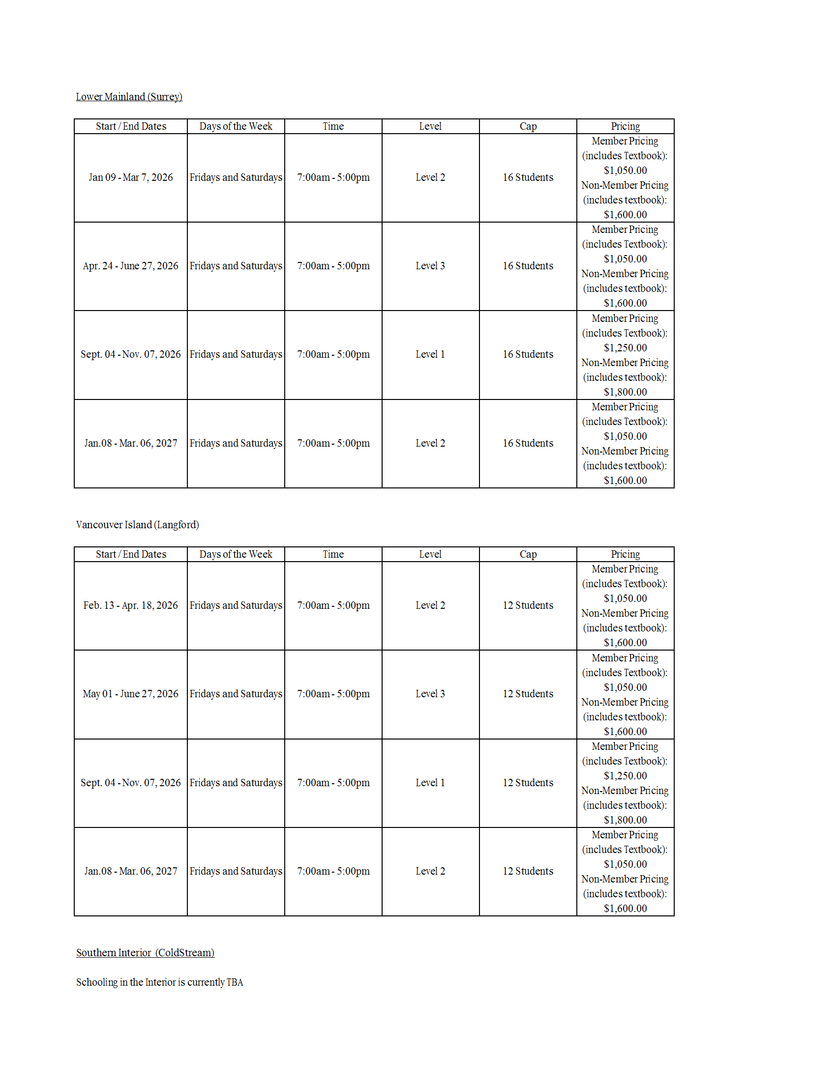
BCWCA Training Schedules for 2026-2027

in Events

Comments

Post a Reply

Name
Email
Comment
 
CAPTCHA Image